
This project aims to meet the challenge proposed by the company Nestlé, related to the line of cookies "Passatempo®". The choice of our client was due to the admiration of all group members by the brand, as well as the memory of Passatempo having been part of our childhood and to this day be present in our daily lives. The challenge proposed by the Marketing Manager of Passatempo, was “Expand the public and increase the sales, keeping the essence of the brand".
To proceed with the project, we needed to discover alternatives that meet the challenge proposed by our client.
In the first stage, we carried out an in-depth research on the company Nestlé and its operations in Brazil. Analyzing it's micro environment: infrastructure, human resources, know-how in marketing. As well as its macro environment: natural, demographic, economic, socio-cultural, technological and legal political.
We execute a research from the portfolio of products from the Passatempo line. Going through its positioning, product life cycle and BCG matrix (growth–share matrix). Besides that, a market study was done to understand the trajectory of the product in the national market. With geographic segmentation, trends, competitive landscape, sales leaders, perspectives, market share and marketing mix (4 P's).
To complete the analyses we study and collect data on their current target audience, competitor analysis, SWOT analysis (Strengths, Weaknesses, Opportunities, and Threats). After that it was possible to establish our short, medium and long term marketing goals and strategies.
In addition to field researches, we carried out two group surveys with qualitative data, where a script was developed with 21 topics, with the aim of understanding how young people relate to the cookies category, what are their favorite brands and what value and devalue in this type of product.
This qualitative survey consisted in the application of a personal questionnaire, with 25 young people, between 15 and 18 years, of economic classes A and B. The sample was restricted to the metropolitan region of Campinas, including cities such as Americana, Limeira and Sorocaba.
After analyzing the results from the surveys and studying all together, we were able to give the next steps to our project. That helped us to achieve the marketing objectives and carry out a communication campaign that reaches the new target in an effective way.
During the planning stage we were focused in collecting data from the new target, including their demographic and psycho-graphic profile, reasons for buying, consumption habits, how they deal with time, what goes on in their minds, and their preferences/habits in numbers. Furthermore, semantic panels about their lifestyle, brands, digital entertainment and audio visual were created.
After months of research and planning we arrived at the final product, we speak in a package that contains two items, separated by a divider: The traditional cookie Passatempo accompanied of chocolate cream. The first has the same composition as the other products from the Passatempo line, both in format and nutritional benefits, not requiring any changes in industrial production. The second product, which despite having similar flavor, there is a small change in the recipe to make it creamier and easier to apply in cookies (dispensing cutlery or other types of disposable spatula).
The product name was chosen with reference to the main interests and the most common activities of our young audience. The word “Play” originates from the English language and has a wide meaning, covering various actions such as engage in activity for enjoyment and recreation, having fun and take part in. We observe that all these verbs are part of everyday life our target audience, in addition, of course, to the very act of “playing” when watching a video or listening to music.
Another factor related to the choice of name is the way of consumption developed together with our product, which is act of dipping the cookie in the creamy chocolate, relating the meaning of the word “play" with action, movement.
The packaging of the proposed product was developed with the aim to offer our target more than just cookies and chocolate creamy. After many studies and countless attempts, we reached packaging that was suitable for one of the most routines of our target audience: listening to music.
Our packaging allows the consumer to use it as a cell phone sound amplifier. Just highlight one part of the top of the package, fit the cell phone and press “play”. Instructions for using this attribute are described in back of the package. Another important factor to be mentioned is that, in this way, we have developed a reusable packaging and sustainable. The package will have 12 units of the cookie Passatempo. We placed all the information from Passatempo line products, as a differential we include one information that adds great value: 0g of trans fat.


The public perception of this new product will, in fact, be a youthful, updated and cool brand, involved with the teenage universe. In fact Passatempo Play provides more than a product, but an experience.
Now the brand have a young and cool personality, who any teenager wants to be. After a year of studies, we got a new product that met all the requirements of our challenge.
Our communication objective had as main focus to inform the target audience about the launch of the new product and present its attributes and differentials, encouraging experimentation and disseminating the creative campaign concept.
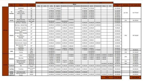
Going through a historical analysis of the brand and the consumer diary, we created the strategies and media execution with a GRP value on the scale of 480. In the file we justify the media and vehicles, based on the previous steps of work, as well as the main advantages that they offer. Below you can check the Cashflow:

Currently consumed by children aged between 3 (three) and 14 (fourteen) years old, Passatempo has good sales share in the filled cookies segment, which is losing space in the cookies as a whole. To get around this situation, it was request from the marketing department that we explored new markets that have the potential to interact with the brand. Thinking about the discussed affinity issues so far, Carabina has chosen to work with a target between 15 and 18 years old, from social classes A, B and C.
Introduce and disseminate the brand “Passatempo Play”, demonstrating how the new way of consuming Passatempo fits the profile and lifestyle of the new target audience.
Although we are free to propose new strategies to expand the target audience and increase participation, it is essential that fun – current brand essence – is clearly in evidence in all the material broadcast, without losing sight of it.
"It is not the strongest of the species that survives, nor the most intelligent that survives. It is the one that is most adaptable to change." Charles Darwin
Our “teenager target”, identified in the surveys, is hyperactive, multitasking, but never turns off the phone. To get their attention it is necessary to use the media that turn into unexpected actions and impact. From the studies carried out on this audience, we decided to transfer this target from the offline environment to the online one, making them carry out their most common activities running through the Passatempo Play experience.
Below are just a few examples of marketing actions we have developed. In the final file, all arts have a detailed explanation of their goals.
If you like what you see and want to work together, get in touch!
murillo.pellegrini@gmail.com